【艺考】考生持续减少而招生数量并未有实质变化,录取率将更高!
艺考录取率将更高!考生持续减少而招生数量并未有实质变化
自1952年中国首次实施统一高考招生制度以来,高考便成了无数人改变命运重要方式之一!到数十年后的今天,依然如此!
伴随着高考而来的艺术高考,以其独特的魅力吸引了无数逐梦人加入到艺考行列!尽管几经沉浮,艺考从上世纪50年代的3.2万人,60年代被废除后1977年又恢复,再到本世纪初开始走热,直到2020年左右,艺考生人数达到顶峰的117万人,人数增加超过36倍之多!
近年来,虽然出生人口在下降,但高考人数却每年都在增加:从2017年高考人数940万人、2018年975万人、2019年1031万人一直飙升到2024年的1342万人之巨!
而2025年高考对应的是2007年左右出生的孩子,2007年出生人口超1590万,也就是说2025年高考报名人数会进一步增加。
目前,全国各省份2025年高考报名已基本结束,尽管官方尚未公布确切的报考人数,但根据预测,2025年全国高考报名人数突破1450万人,较2024年的1342万人增长108万人,再创历史新高!
Ai 智能回答2025年全国高考报名人数预计将突破1, 450万人。这一预测基于多个因素,包括近年来高考报名人数的持续增长趋势、出生人口数量的变化,以及复读生数量的增加。根据出生人口数据9和高考报名人数°的历史数据,预计2025年高考报名人数将达到一个高峰。此外,由于普通高中录取比例°的提高和复读生Q数量的增加,未来的高考竞争将更加激烈。这些因素共同作用,使得2025年高考成为了一个备受关注的年份,被一些声音称为“史上最难的一年”。
以下是根据当前形势和过往趋势预测的全国各省2025年高考人数统计一览表:

注:以上数据为预测值,仅供参考。实际高考人数可能因多种因素(如人口出生率、教育政策调整、复读生人数变化等)而有所变化。
与高考人数一路创新高不同的是,艺考人数自1977恢复高考以来逐年增长到2020年达到高峰的117万人,在2021年教育部出台艺考改革政策后,艺考人数开始逐年下降。
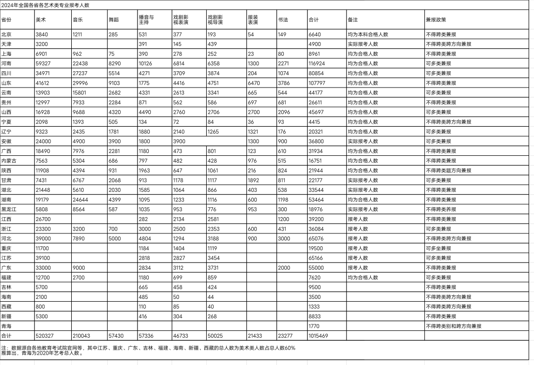
从全国各省已公布的数据来看,仅美术考生2024年较2023年至少减少了10万,而所有艺术类别考生2024年较2023年减少了20多万人,使得2024年艺考生人数仅有100万出头。

2025年又如何呢?
安徽省是第一个公布2025年艺考生人数的省份,据公布的数据显示,2025年安徽省全省音乐类统考报名考生0.45万人,较2024年的0.49万人减少400人,减少幅度达8.2%;舞蹈类统考报名考生0.31万人,较2024年的0.39万人减少800人,减少幅度超过惊人的20.5%!
艺考生人数减少的原因,主要在于2021年教育部出台艺考改革政策,一方面对专业素养要求更高了,另一方面提高了文化成绩要求,使得原本文化成绩并不好的考生退却了。
比如教育部规定:2024年起,艺术史论、戏剧影视文学等高校艺术类专业,直接依据考生高考文化课成绩、参考考生综合素质评价,择优录取;使用省级统考成绩作为专业考试成绩的艺术类专业,高考文化课成绩所占比例原则上不低于50%;校考类专业,高考文化课成绩需达到所在省(区、市)普通类专业批次录取最低控制分数线等等。

艺考改革后专业要求和文化要求都提高了,为什么艺考更容易了呢?这里所说的艺考更容易并不是指考试难度降低了,而是指录取难度比之前更低了。
主要有以下4个方面的原因:
一是艺考改革后艺术类招生计划数并未实质减少,也就是说考生数量在减少,而招生数量并未减少甚至有少量增加的情况下,艺术生的录取率更高了。
整理统计的“30+18”所重点艺术院校近三年招生数量来看,2022年招生54260人;2023年招生52958人,较上一年减少了1302人;2024年招生52127人,较上一年减少了831人。


招生数量看似减少了,为什么说实质上并未减少呢?尤其是2024年,其原因就在于原本统考、校考招生的艺术类专业在艺考改革后改成了普通类招生,并不计算在艺术类招生计划之内!
比如各个省份根据教育部颁布的艺考改革文件精神都明确规定:
2024年起,艺术史论、艺术管理、非物质文化遗产保护、戏剧学、电影学、戏剧影视文学、广播电视编导、影视技术等高校艺术类专业招生,直接依据考生高考文化课成绩择优录取。
像清华大学美术学院的艺术史论(2023年招生15人),在2023年校考招生但在2024年转为了普通类招生;
四川美术学院的艺术史论(2023年招生60人)、美术学(2023年招生30人)、艺术设计学(2023年招生60人)专业,在2023年也是作为艺术类招生,但在2024年转为了普通类招生;
还有像北京电影学院戏剧影视文学(剧作)(2023年招生20人)、戏剧影视文学(动漫策划)(2023年招生20人)、戏剧影视文学(创意策划)(2023年招生20人)等等在2023年作为艺术类招生,但在2024年转为了普通类招生。
类似的院校和专业还比较多,详见以下部分院校转为普通类招生的统计:

一方面高考人数逐步增加,竞争更加激烈,而另一方面艺考生在持续减少,但艺术类招生数并未实质减少,这必然使得艺考录取率将更高,竞争相比高考也更小。
二是对专业过硬、文化原本中上孩子来说,艺考的确能帮助他们提升升学层次!如果不参加艺考,仅靠文化成绩原本上不了985、211等重点本科院校的,但参加艺考后凭借综合分结果上了985、211等重点本科院校;如果不参加艺考,仅靠文化成绩原本上不了本科的,但参加艺考后凭借综合分结果上了本科,这样的案例不胜枚举.
三是对文艺双优的孩子来说,艺考改革对这部分孩子并未有影响,对艺术的热爱仍然热爱。
四是艺考改革后继续参加艺考的,都是对艺术真正热爱的孩子,不管他的成绩怎么样,只要对艺术真正热爱就会努力学习,在别人眼里既苦又累的事可在这些孩子眼里这样的苦与累根本都不是事儿!兴趣是最好的老师,对艺术的热爱,加上老师们的正确教学方法,这样的孩子终究如愿以偿圆了艺术梦!