艺桥留学中心国际本科

2026版《零起点考大学》用历年真题大数据为艺考生量身打造的文化课提分方2026版即兴评述宝典最新热点话题经典评论终结押题 热门考点 最新热点事件2026届中传文史哲红宝书240个考点+APP题库文史哲3600道题+考情分析2025真


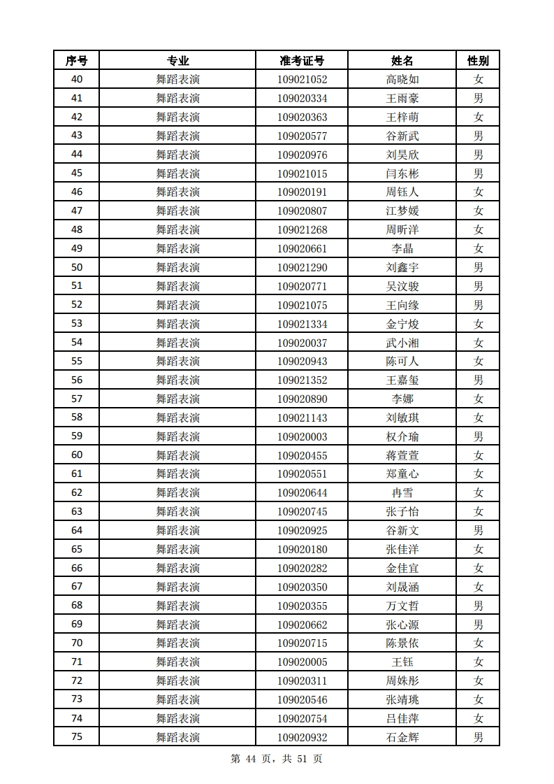
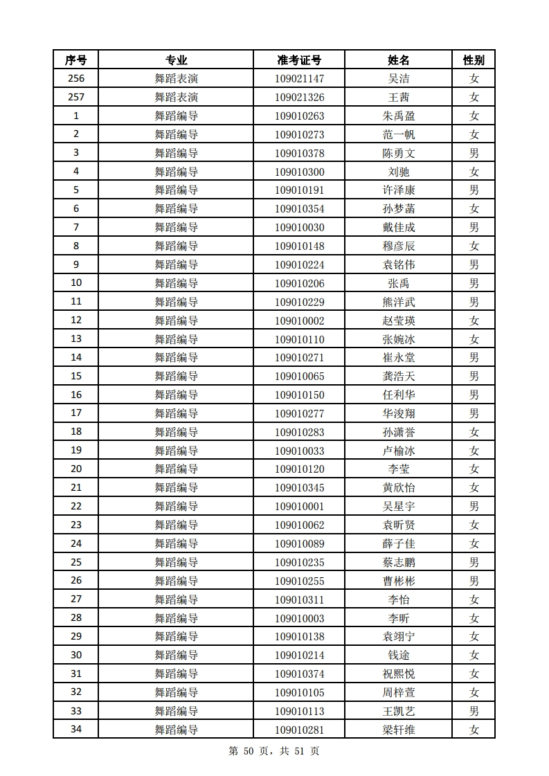
天津音乐学院公布2020年本科招生考试现场考试名单




来源: 时间:2020-05-12 浏览:

近日,天津音乐学院公布了2020年本科招生考试现场考试名单,有报考天音的同学快来看看你通过初试了吗?具体如下:

《艺考生文化课百日学案》是针对包括美术、声乐、乐器、舞蹈、播音主持、编导等多个专业在内的艺术类考生参加高考的文化课百日冲刺专用教材。

《艺考生文化课百日学案》目前支持的购买方式有:

全国包邮: 淘宝网购买微信购买拼多多团购

文科全套:淘宝网购买        理科全套:淘宝网购买

       
推荐阅读;
2020版《即兴评述宝典》播音主持编导制作艺考专用中影指定用书
文艺常识配套习题【真题追踪】广播影视编导艺考专业考前专项突破教材主编位彦鲁
2020版《艺考生文化课百日学案》艺考生文化课百日冲刺专用教材
《2020版艺考生报考指南》美术、音乐舞蹈、编导播音影视表演专业,选学校、报志愿、专业考试必备工具书

2020版《美术报考指南》院校报考分析指南,统考校考报志愿院校报考工具书
2020版艺考必备文化课提分宝典-今日出版全国发售,艺考生文化课百日冲刺专用教材


返回中国艺考网,查看更多>>


志愿填报智能系统

·上一篇:2020年天津音乐学院本科招生考试现场考试名单(戏剧影视美术设计)
·下一篇:深圳大学公布2020年艺术类广东省校考复试名单
转载声明